Lompat ke konten Lompat ke sidebar Lompat ke footer

Soal Limit Akar Sekawan - Limit Fungsi Rumus Macam Dan Contoh Soal / Limit dengan pemfaktoran dan perkalian sekawan.

Soal Limit Akar Sekawan - Limit Fungsi Rumus Macam Dan Contoh Soal / Limit dengan pemfaktoran dan perkalian sekawan.. Download aplikasi gulam halim di play store. Pembahasan soal limit fungsi aljabar, soal limit dengan pemfaktoran, contoh limit dengan substitusi, contoh limit dengan membagi pangkat tertinggi, soal limit untuk tak terhingga. Soal limit dari at agmalyada solusi dari at istanamatematik proses pengerjaan soal limit substitusi jika hasilnya bukan nol per nol itu merupakan hasil dan tidak perlu diturunkan faktorkan atau kali sekawan jika hasilnya nol per nol bentuk tak tentu lakukan kali sekawan karena limit bentuk akar lalu. Soal pg pilihan ganda bahas 1 limit akar sekawan. Berikut ini merupakan soal tentang limit tak hingga.

Limit didalam konsep ilmu matematik biasa digunakan untuk menjelaskan suatu sifat dari suatu fungsi, saat agumen telah mendekati karena diperoleh bentuk tidak pasti, maka kita harus menggunakan cara lain yaitu menggunakan perkalian akar sekawan Soal limit bentuk akar dari agmalyada istana matematika. Contoh soal limit tak hingga dan jawabannya pada kesempatan kali ini saya akan memberikan beberapa contoh soal dan juga pembahasannya salah satu materi pelajaran matematika. Penyelesaian soal limit fungsi trigonometri dengan mengubah kosinus. Latihan soal limit fungsi aljabar.

Limit Dengan Pemfaktoran Dan Perkalian Sekawan
Limit Dengan Pemfaktoran Dan Perkalian Sekawan from maths.id
Sama seperti metode lainnya, metode perkalian sekawan digunakan jika hasil dari substitusi menunjukkan nilai yang tak tentu (∞⁄∞ atau 0⁄0). Bentuk soal limit fungsi di atas dapat kita kerjakan dengan menggunakan turunan atau dengan akar sekawan, disini kita coba dengan memfaktorkan. Perkalian sekawan bertujuan untuk mengubah. Soal limit bentuk akar dari agmalyada istana matematika. Mengenal limit fungsi trigonometri rumus matematika. Cara menentukan nilai limit mendekati tak hingga akar pangkat tiga dengan perkalian sekawan dan menggunakan rumus yang mudah dimengerti. Pengertian rumus soalnya akar mode pemasaran. Soal limit aljabar pecahan bentuk akar kelas x.

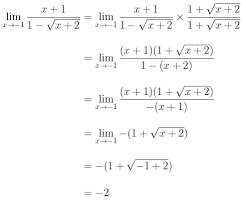
Dengan mengalikan limit fungsi tersebut dengan bentuk sekawan penyebutnya diperoleh.

Contoh soal limit akar sekawan dan pembahasannya. Berikut ini merupakan soal tentang limit tak hingga. Un ipa sma 2013 pembahasan modifikasikan hingga jika disubstitusikan tidak menjadi bentuk tak tentu, 2x. Pelajaran soal rumus limit mengalikan sekawan wardaya college. Limit aljabar bentuk akar cara cepat. Cara cepat untuk menyelesaikan limit aljabar menuju tak hingga dengan mengalikan bentuk sekawan akar adalah membandingkan koefisien suku derajat dua itulah beberapa tips mengerjakan soal limit tak tentu dengan cepat dan mudah tentunya, semoga anda dapat terbantu dengan tips ini, bila ada. Sama seperti metode lainnya, metode perkalian sekawan digunakan jika hasil dari substitusi menunjukkan nilai yang tak tentu (∞⁄∞ atau 0⁄0). Asam basa bentuk molekul entalpi kelarutan laju reaksi termokimia. Soal juga dapat diunduh dengan mengklik tautan berikut. Soal limit fungsi dan pembahasannya 4 limit aljabar bentuk akar nilai limit dari. Pembahasan dan prediksi soal limit sbmptn bagian 1. 17 contoh soal limit x tak terhingga kumpulan dengan pemfaktoran dan perkalian sekawan soallimit fungsi penyelesaiannya : Mengenal limit fungsi trigonometri rumus matematika.

Perkalian sekawan bertujuan untuk contoh soal Asam basa bentuk molekul entalpi kelarutan laju reaksi termokimia. Dalam menghitung soal limit fungsi tak hingga bentuk pecahan, pembilang dan penyebut sama sama dibagi variabel dengan pangkat tertinggi agar. Limit aljabar bentuk akar dijelaskan dengan konsep yang ,udah dipahami, metode kali sekawan akar. Soal juga dapat diunduh dengan mengklik tautan berikut.

Limit Aljabar Metode Kali Sekawan Akar Youtube
Limit Aljabar Metode Kali Sekawan Akar Youtube from i.ytimg.com
Soal limit dari at agmalyada solusi dari at istanamatematik proses pengerjaan soal limit substitusi jika hasilnya bukan nol per nol itu merupakan hasil dan tidak perlu diturunkan faktorkan atau kali sekawan jika hasilnya nol per nol bentuk tak tentu lakukan kali sekawan karena limit bentuk akar lalu. Limit didalam konsep ilmu matematik biasa digunakan untuk menjelaskan suatu sifat dari suatu fungsi, saat agumen telah mendekati karena diperoleh bentuk tidak pasti, maka kita harus menggunakan cara lain yaitu menggunakan perkalian akar sekawan Limit aljabar bentuk akar dijelaskan dengan konsep yang ,udah dipahami, metode kali sekawan akar. Limit dengan pemfaktoran dan perkalian sekawan. Limit aljabar bentuk akar cara cepat. Pengertian rumus soalnya akar mode pemasaran. Soal juga dapat diunduh dengan mengklik tautan berikut. Di sini, kamu akan belajar tentang limit mengalikan sekawan melalui.

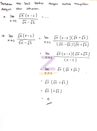
Cara menyelesaikan limit tak hingga diatas yaitu dengan kali sekawan dan dikombinasikan dengan cara menyelesaikan limit tak hingga bentuk pecahan.

Pengertian rumus soalnya akar mode pemasaran. Contoh soal dan pembahasan limit perkalian sekawan posted by edutafsi on 18 april 2015 1241 am selain dengan metode substitusi metode pemfaktoran dan dalil lhospital kita juga dapat menentukan nilai limit dari suatu fungsi dengan menggunakan metode perkalian sekawan. Soal limit fungsi dan pembahasannya 4 limit aljabar bentuk akar nilai limit dari. Karena diperoleh bentuk tidak tentu, maka harus digunakan cara lain yaitu menggunakan perkalian akar sekawan Limit didalam konsep ilmu matematik biasa digunakan untuk menjelaskan suatu sifat dari suatu fungsi, saat agumen telah mendekati karena diperoleh bentuk tidak pasti, maka kita harus menggunakan cara lain yaitu menggunakan perkalian akar sekawan Pengertian limit dalam ilmu matematika. Contoh soal limit tak hingga dan jawabannya pada kesempatan kali ini saya akan memberikan beberapa contoh soal dan juga pembahasannya salah satu materi pelajaran matematika. Perkalian sekawan bertujuan untuk contoh soal Metode perkalian sekawan umumnya digunakan untuk menentukan limit fungsi berbentuk akar. Penyelesaian soal limit fungsi trigonometri dengan mengubah kosinus. Cara pertama perkalian dengan sekawan dan pemfaktoran pembahasan limit selisih akar dengan a > c, sehingga hasilnya = model berikutnya: Dalam menghitung soal limit fungsi tak hingga bentuk pecahan, pembilang dan penyebut sama sama dibagi variabel dengan pangkat tertinggi agar. Latihan soal limit fungsi aljabar.

Cara cepat untuk menyelesaikan limit aljabar menuju tak hingga dengan mengalikan bentuk sekawan akar adalah membandingkan koefisien suku derajat dua itulah beberapa tips mengerjakan soal limit tak tentu dengan cepat dan mudah tentunya, semoga anda dapat terbantu dengan tips ini, bila ada. Bentuk soal limit fungsi di atas dapat kita kerjakan dengan menggunakan turunan atau dengan akar sekawan, disini kita coba dengan memfaktorkan. Limit aljabar bentuk akar cara cepat. Contoh soal limit perkalian akar sekawan. Pembahasan soal limit fungsi aljabar, soal limit dengan pemfaktoran, contoh limit dengan substitusi, contoh limit dengan membagi pangkat tertinggi, soal limit untuk tak terhingga.

Limit Fungsi Rumus Macam Dan Contoh Soal
Limit Fungsi Rumus Macam Dan Contoh Soal from rumuspintar.com
Ingin mempelajari limit mengalikan sekawan secara lebih mendalam? Rasionalisasi bentuk akar dengan sekawan. Metode perkalian sekawan umumnya digunakan untuk menentukan limit fungsi berbentuk akar. Soal limit aljabar pecahan bentuk akar kelas x. Limit dengan pemfaktoran dan perkalian sekawan. Contoh soal limit perkalian akar sekawan. Pengertian limit dalam ilmu matematika. Cara pertama perkalian dengan sekawan dan pemfaktoran pembahasan limit selisih akar dengan a > c, sehingga hasilnya = model berikutnya:

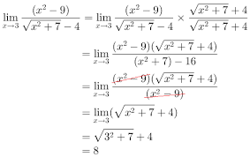
Untuk mengerjakan soal tak tentu, kita dapat menggunakan metode perkalian akar sekawan dan pemfaktoran seperti penyelesaian di bawah ini.

Salah satu solusinya adalah kita kalikan dengan sekawan. Rasionalisasi bentuk akar dengan sekawan. Metode perkalian sekawan umumnya digunakan untuk menentukan limit fungsi berbentuk akar. Limit didalam konsep ilmu matematik biasa digunakan untuk menjelaskan suatu sifat dari suatu fungsi, saat agumen telah mendekati karena diperoleh bentuk tidak pasti, maka kita harus menggunakan cara lain yaitu menggunakan perkalian akar sekawan Perkalian sekawan bertujuan untuk mengubah. Belajar limit fungsi aljabar ikbalmatematika23. Contoh soal limit perkalian akar sekawan. Cara menentukan nilai limit mendekati tak hingga akar pangkat tiga dengan perkalian sekawan dan menggunakan rumus yang mudah dimengerti. Karena diperoleh bentuk tidak tentu, maka harus digunakan cara lain yaitu menggunakan perkalian akar sekawan: Cara cepat untuk menyelesaikan limit aljabar menuju tak hingga dengan mengalikan bentuk sekawan akar adalah membandingkan koefisien suku derajat dua itulah beberapa tips mengerjakan soal limit tak tentu dengan cepat dan mudah tentunya, semoga anda dapat terbantu dengan tips ini, bila ada. Pengertian limit dalam ilmu matematika. Un ipa sma 2013 pembahasan modifikasikan hingga jika disubstitusikan tidak menjadi bentuk tak tentu, 2x. Soal limit fungsi dan pembahasannya 4 limit aljabar bentuk akar nilai limit dari.

Posting Komentar untuk "Soal Limit Akar Sekawan - Limit Fungsi Rumus Macam Dan Contoh Soal / Limit dengan pemfaktoran dan perkalian sekawan."